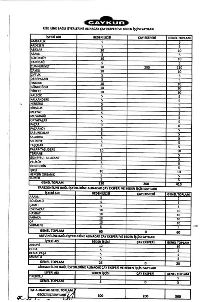
ÇAYKUR tarafından istihdam edilecek 500 mevsimlik işçi için alımının detayları belli oldu. Çay İşletmeleri Genel Müdürlüğü’nün işçi alımı ilanına göre, Rize, Trabzon, Artvin ve Giresun İllerinde işçi ihtiyacı bulunan yaş çay fabrikaları için Çay Eksperliği veya Çay Tarımı ve İşletme Teknolojisi bölümü mezunu 200 geçici çay eksperi ve noter kurası ile 300 geçici beden işçisi (tahmil tahliye) alınacak.
ÇAYKUR İŞÇİ ALIMI BAŞVURU NASIL YAPILIR?
Çaykur’un İŞKUR üzerinden işçi alımı için başvurular bugün başladı. Çaykur işçi alımı başvurusu 22-26 Mart 2021 tarihleri arasında veya esube.iskur.gov.tr internet sitesinden yapılabilecek. İşçi adayları ikamet ettikleri il için bildirilen işyerlerinden sadece biri için iş başvurusu yapabilecek. Birden çok işyeri için başvuruda bulunanların başvuruları geçersiz sayılacak.
ÇAYKUR İŞÇİ ALIMI BAŞVURU ŞARTLARI NELERDİR?
ÇAYKUR işçi alımının başvuru tarihi ve şartlarına https://kamuilan.ailevecalisma.gov.tr/ adresinden yapılan duyuruda yer verildi. İş başvurusunda bulunacak geçici çay eksperi adaylarının;
1- MYO Çay Eksperliği veya Çay Tarımı ve İşletme Teknolojisi bölümü mezunu,
2- 2020 KPSS Ön lisans P93 puan türünden 60 ve üzeri puan almış olması,
İş başvurusunda bulunacak geçici beden işçisi (tahmil-tahliye) adaylarının;
1- 18- 50 yaş aralığında,
2- Erkek,
3- En az İlkokul mezunu,
4- Müracaat edecekleri işyerinin bağlı bulunduğu İlin İl ve İlçelerinde ikamet etme, şartlarını taşımaları gerekmektedir.
ÇAYKUR İŞÇİ ALIMI BAŞVURUSU İÇİN TIKLAYIN!

İşe girmek isteyen işçi adayları 22.03.2021 – 26.03.2021 tarihileri arası 5 işgününde İş Kurumu İl ve İlçe Müdürlükleri aracılığıyla veya Çalışma ve İş Kurumunun www.iskur.gov.tr resmi internet sitesinden müracaat edebileceklerdir. İşçi adayları ikamet ettikleri İl için bildirilen işyerlerimizden sadece biri için iş başvurusu yapacaktır. Birden çok işyeri için başvuruda bulunanların başvuruları geçersiz sayılacaktır.
Geçici çay eksperi başvuruları Teşekkülümüze bağlı Cumhuriyet Çay Fabrikası için ilana çıkılarak alınacak akabinde başvuruları kabul edilen çay eksperleri adayları için Kamu Kurum ve Kuruluşlarına İşçi Alınmasında Uygulanacak Usul ve Esaslar Hakkında Yönetmelik hükümlerine göre işlemler tesis edilerek Rize, Trabzon, Artvin ve Giresun İllerindeki ihtiyaçlı fabrikalarımıza işe girmeye hak kazananların dağıtımı yapılacaktır.

Rize, Trabzon, Artvin ve Giresun illerinde işe alınacak geçici beden işçileri, 12 Nisan 2021 Pazartesi günü saat 10.00 da Rize Yenişehir Kapalı Spor Salonunda İŞKUR nihai listeleri esas alınarak noter huzurunda yapılacak olan kura çekimiyle belirlenecektir. İşe girmeye hak kazanan işçiler talep ettikleri işyerine 2021 yılı yaş çay kampanyası açılışından itibaren işe başlatılacak, işe başlamayan veya istenen belgeleri ibraz edemeyenlerin yerine yine noter kura sıralamasında belirlenen yedek listedeki sıralamaya göre işyerine tahsis edilen sayı kadar işçinin işe başlaması sağlanacaktır. İşe başlatılan işçilerin tescil işlemleri işyerinin bağlı bulunduğu İş Kur İl Müdürlüğünce yapılacaktır.
Teşekkülümüzün Kamu Kuruluşu olması nedeniyle işe alacağı işçileri İş Kurumu İl Müdürlüklerinden almasında yasal zorunluluk bulunduğundan gerek Genel Müdürlüğümüze ve gerekse Fabrikalarımıza verilen iş başvuru dilekçeleri geçerli değildir.
Bir işçi adayı ikametinin bulunduğu ile bağlı bir fabrikaya başvuruda bulunacak, birden çok fabrikaya başvurdukları tespit edilenler veya ikamet ettiği İl dışındaki bir işyerimize başvuruda bulunanların işlemlerinin tümü iptal edilecek ve işe giriş kurasına alınmayacak, kurada işe girmeyi hak etse bile ilgili işçi adayı ile sözleşme yapılmayacaktır.
